g
"According to David Geary, gf and gc can be traced to two separate brain systems.
Fluid intelligence involves both the dorsolateral prefrontal cortex, the anterior cingulate cortex, and other systems related to attention and short-term memory.
Crystallized intelligence appears to be a function of brain regions that involve the storage and usage of long-term memories, such as the hippocampus."
Fluid and crystallized intelligence Neuroanatomy.
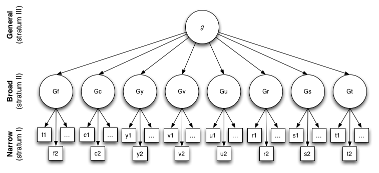
"Fluid reasoning (Gf): includes the broad ability to reason, form concepts, and solve problems using unfamiliar information or novel procedures...
Comprehension-Knowledge (Gc): includes the breadth and depth of a person's acquired knowledge, the ability to communicate one's knowledge, and the ability to reason using previously learned experiences or procedures..."
Cattell–Horn–Carroll Theory: Broad and narrow abilities.
"Though distinct, there is interaction, as fluid intelligence is a determining factor in the speed with which crystallised knowledge is accumulated (Cattell, 1963).
Crystallised intelligence is known to increase with age as we accumulate knowledge throughout the lifespan. Fluid processing ability reaches a peak around age 20, then declines steadily."
